Lösung zu Aufgabe 7

(a) 3572,08
(b) 3369,89

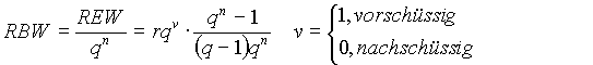
(c)

zurück zur Aufgabe