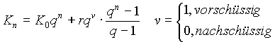
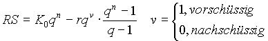
Lösung zu Aufgabe 11


 

(a) K4    =  10687,00
(b) K2,5 =    7904,98   (K2 = 7678,00)
(c) RS   =  1937,77

zurück zur Aufgabe