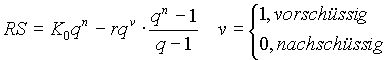
Restschuldberechnung

  Punkt als Dezimalzeichen!
Kreditbetrag in €
Monatsrate in €
vorschüssig:1
nachschüssig:0
Laufzeit in Monaten
Jahreszinssatz in %
     
Restschuld in €
  falls negativ: zuviel zurückgezahlt.

zurück zu den Aufgaben


© 2016 Siegfried Zseby