|
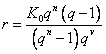
Der Sonderfall RS = 0 liefert eine Gleichung, um einen Barwert K0 mit einer regelmäßigen Zahlung r zu vergleichen.

Durch Auflösen der Gleichung nach r kann eine angemessene Rate gefunden werden.

Durch etwas mühsameres Auflösen der Gleichung nach n kann die Laufzeit bis zur Tilgung berechnet werden.

Nur durch Probieren kann q und damit der Effektivzinssatz ermittelt werden.
|