Language: [deutsch]
FHW-Berlin Lerneinheit Finanzmathematik
  Sie befinden sich in der Formelsammlung


Home
Kapitelübersicht
Formelsammlung
Übungsaufgaben
Glossar
Hilfe
Impressum


  [Download]

    Formeln (26 kb)


Formelsammlung

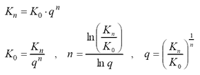
1. Einmalige Zahlung (q = 1 + p)

Formel: Einmalige Zahlungen


2. Regelmäßige Zahlung

Formel: Regelmäßige Zahlungen


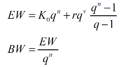
Rentenendwert

Formel: Rentenendwert

Rentenbarwert

Formel: Rentenbarwert

3. Gemischte Zahlungen
Endwert, Barwert


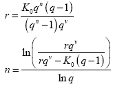
Restschuld

Formel: Restschuld

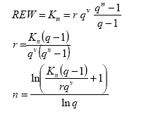
Spezialfall: RS = 0

Formel: Spezialfall

Effektivzins: Lösung der Gleichung

Formel: Effektivzins

Soll- und Effektivzinssatz

Formel: Soll_und_Effektivzinssatz